Including dynamic wetting, drop impact, evaporation & regularised moment equations…
The Navier-Stokes-Fourier modelling paradigm has given remarkably accurate predictions of fluid flows we observe on a daily basis. However, as the dimensions of a gas flow approach the mean free path in the gas (around 100nm in standard situations) the classical model becomes inaccurate and ‘gas kinetic effects’ must be accounted for.
Such flows are routinely encountered in microdevices like MEMS and modelling approaches based on the Boltzmann equation are well studied. Our research in this area has been to transfer this knowledge to free surface flows, where small dimensions can appear (a) in multiscale phenomena where gas lubrication films appear (e.g. in the impact of liquid drops on solids) and (b) when considering micro/nanoflows (e.g. the evaporation of a liquid micro/nanodrop).
Experiments conducted in [Xu et al 2005] showing that reductions in ambient pressure can suppress the splash of an impacting drop. Left: mm-sized ethanol drop impacting a solid at attmospheric pressure, right: impact at a reduced pressure suppresses splashing.
Dynamic wetting
Recent experiments on coating flows and liquid drop impact (see videos above) show that wetting failures can be suppressed by reducing the ambient gas pressure. In [Sprittles, 2015] and [Sprittles, 2017], it has been shown shown that gas kinetic effects can account for this behaviour, with ambient pressure reductions increasing the mean free path of the gas and hence the Knudsen number Kn.
Notably, full kinetic effects, based on the Boltzmann equation, were incorporated into a dynamic wetting framework for the first time and published in Physical Review Letters [Sprittles, 2017].
Drop impact
Prior to the wetting phase, drops impacting solids undergo complex dynamics before even coming into contact with the surface and similar behaviour is observed in drop-drop collisions. Recent experiments have shown that the gas lubrication film trapped under the drop during impact can even exert strong enough pressures to prevent the drop from touching down, thus leading to drop bouncing, even from wettable surfaces – see below.
Rebound of a mm-sized droplet from a wettable surface due to the trapping of a nanoscale gas film whose height distribution is shown in the lower panel. See Kolinski et al 2014.
In our recent work in Physical Review Letters [Chubynsky et al, 2020], we have developed a computational model that accounts for the nanoscale physics occurring under (potentially) mm-sized liquid droplets, a remarkably multiscale process.
Simulation compared to experimental images from [Kolinski et al, EPL 108, 24001 (2014)] showing formation of a nanoscale gas film that prevents the drop from contacting the substrate. Our article in Physical Review Letters “Bouncing off the walls: The influence of gas-kinetic and van der Waals effects in drop impact” shows the importance of gas kinetic effects and van der Waals forces in this process.
To isolate the nanoscale effects, the dependence on ambient pressure of the threshold is mapped and provides new experimentally verifiable predictions. Moreover, the model shows that a van der Waals driven instability is responsible for the initiation of wetting and leads to two modes of contact which we show can be easily identified experimentally.
Evaporation of liquid drops
The shrinking/growth of liquid drops due to evaporation/condensation is a routinely observed phenomena that is critical to natural phenomena such as cloud formation as well as numerous industrial processes such as drop dynamics in combustion engines.
Classical models of evaporation begin to fail when the size of the droplet becomes comparable to the mean free path (micrometres and below) at which point a number of standard assumptions fail. Going beyond the classical picture first requires one to modify the boundary conditions, e.g. to allow for jumps in temperature between the liquid and vapour, and, second, to go beyond the NSF framework, e.g. by using higher order moment methods (see below), and enable one to capture bulk rarefied gas effects such as Knudsen layer near interfaces. This is all developed in our article [Rana et al 2018].
Notably, we show that by modifying the classical model in this manner we are able to develop theory which captures the drop evaporation process right down to the scale of a few nanometres – see comparison below. This results in a transition in the scaling of the drop evaporation, as explained in our Physical Review Letters article [Rana et al 2019].
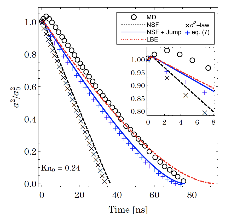
Evaporation of a liquid drop of radius a(t) as a function of time t. The results show clearly that the classical NSF model fails to capture molecular dynamics (MD) data, allowing for temperature jump boundary conditions improves matters and using the linearised Boltzmann equation (LBE) gives even better agreement.
Higher order moment methods
In many micro gas flows the linearised Boltzmann equation can give excellent predictions; however, the complexity associated with going from the 3-dimensional space in which the NSF framework acts to a 6D one makes computation challenging and in many cases intractable. Furthermore, it is difficult to get insight in the flow when solving using techniques such a direct simulation Monte Carlo.
Recently, there has been renewed interest in using moment methods to derive systems of PDEs that (i) more accurately approximate the Boltzmann equation than the NSF, (ii) capture a number of rarefied effects, notably Knudsen layers, and (iii) are more computationally tractable and allow analytic solutions to be obtained. In particular, we have been considered the regularised 13 and 26 moment equations, developed by Struchtrup and Torrilhon.
Fundamental solutions
Following on from ideas laid out in [Lockerby & Collyer 2016] fundamental solutions were derived for the R13 system in [Claydon et al 2017]. Such solutions are routinely used in Stokes flow problems, e.g. bio-motion, to analyse flow dynamics and aid computation, but this is the first time these ideas have been transferred to the rarefied gas community.
The potential power of this method was demonstrated in [Claydon et al 2017] by using the method of fundamental solutions to compute the rarefied gas flow between two colliding particles, see below.
Collision of two solid spheres in a gas captured by the R13 model and computed using the method of fundamental solutions. Speed contours and velocity streamlines shown.
Thermophoresis
In [Padrino et al 2019], we show how the R13 model can be used to predict the motion of a spherical particle in a temperature gradient – i.e. motion by thermophoresis.
Results are shown to compare favourably with full kinetic solutions up to moderate Knudsen numbers, as one would expect, and by balancing the thermophoretic force with the drag we are able to calculate the velocity of the particle.
Including dynamic wetting, drop impact, evaporation & regularised moment equations…
The Navier-Stokes-Fourier modelling paradigm has given remarkably accurate predictions of fluid flows we observe on a daily basis. However, as the dimensions of a gas flow approach the mean free path in the gas (around 100nm in standard situations) the classical model becomes inaccurate and ‘gas kinetic effects’ must be accounted for.
Such flows are routinely encountered in microdevices like MEMS and modelling approaches based on the Boltzmann equation are well studied. Our research in this area has been to transfer this knowledge to free surface flows, where small dimensions can appear (a) in multiscale phenomena where gas lubrication films appear (e.g. in the impact of liquid drops on solids) and (b) when considering micro/nanoflows (e.g. the evaporation of a liquid micro/nanodrop).
Experiments conducted in [Xu et al 2005] showing that reductions in ambient pressure can suppress the splash of an impacting drop. Left: mm-sized ethanol drop impacting a solid at attmospheric pressure, right: impact at a reduced pressure suppresses splashing.
Dynamic wetting
Recent experiments on coating flows and liquid drop impact (see videos above) show that wetting failures can be suppressed by reducing the ambient gas pressure. In [Sprittles, 2015] and [Sprittles, 2017], it has been shown shown that gas kinetic effects can account for this behaviour, with ambient pressure reductions increasing the mean free path of the gas and hence the Knudsen number Kn.
Notably, full kinetic effects, based on the Boltzmann equation, were incorporated into a dynamic wetting framework for the first time and published in Physical Review Letters [Sprittles, 2017].
Drop impact
Prior to the wetting phase, drops impacting solids undergo complex dynamics before even coming into contact with the surface and similar behaviour is observed in drop-drop collisions. Recent experiments have shown that the gas lubrication film trapped under the drop during impact can even exert strong enough pressures to prevent the drop from touching down, thus leading to drop bouncing, even from wettable surfaces – see below.
In our recent work in Physical Review Letters [Chubynsky et al, 2020], we have developed a computational model that accounts for the nanoscale physics occurring under (potentially) mm-sized liquid droplets, a remarkably multiscale process.
To isolate the nanoscale effects, the dependence on ambient pressure of the threshold is mapped and provides new experimentally verifiable predictions. Moreover, the model shows that a van der Waals driven instability is responsible for the initiation of wetting and leads to two modes of contact which we show can be easily identified experimentally.
Evaporation of liquid drops
The shrinking/growth of liquid drops due to evaporation/condensation is a routinely observed phenomena that is critical to natural phenomena such as cloud formation as well as numerous industrial processes such as drop dynamics in combustion engines.
Classical models of evaporation begin to fail when the size of the droplet becomes comparable to the mean free path (micrometres and below) at which point a number of standard assumptions fail. Going beyond the classical picture first requires one to modify the boundary conditions, e.g. to allow for jumps in temperature between the liquid and vapour, and, second, to go beyond the NSF framework, e.g. by using higher order moment methods (see below), and enable one to capture bulk rarefied gas effects such as Knudsen layer near interfaces. This is all developed in our article [Rana et al 2018].
Notably, we show that by modifying the classical model in this manner we are able to develop theory which captures the drop evaporation process right down to the scale of a few nanometres – see comparison below. This results in a transition in the scaling of the drop evaporation, as explained in our Physical Review Letters article [Rana et al 2019].
Higher order moment methods
In many micro gas flows the linearised Boltzmann equation can give excellent predictions; however, the complexity associated with going from the 3-dimensional space in which the NSF framework acts to a 6D one makes computation challenging and in many cases intractable. Furthermore, it is difficult to get insight in the flow when solving using techniques such a direct simulation Monte Carlo.
Recently, there has been renewed interest in using moment methods to derive systems of PDEs that (i) more accurately approximate the Boltzmann equation than the NSF, (ii) capture a number of rarefied effects, notably Knudsen layers, and (iii) are more computationally tractable and allow analytic solutions to be obtained. In particular, we have been considered the regularised 13 and 26 moment equations, developed by Struchtrup and Torrilhon.
Fundamental solutions
Following on from ideas laid out in [Lockerby & Collyer 2016] fundamental solutions were derived for the R13 system in [Claydon et al 2017]. Such solutions are routinely used in Stokes flow problems, e.g. bio-motion, to analyse flow dynamics and aid computation, but this is the first time these ideas have been transferred to the rarefied gas community.
The potential power of this method was demonstrated in [Claydon et al 2017] by using the method of fundamental solutions to compute the rarefied gas flow between two colliding particles, see below.
Thermophoresis
In [Padrino et al 2019], we show how the R13 model can be used to predict the motion of a spherical particle in a temperature gradient – i.e. motion by thermophoresis.
Results are shown to compare favourably with full kinetic solutions up to moderate Knudsen numbers, as one would expect, and by balancing the thermophoretic force with the drag we are able to calculate the velocity of the particle.
Share this: